联系电话:
0531-86181060
通知公告
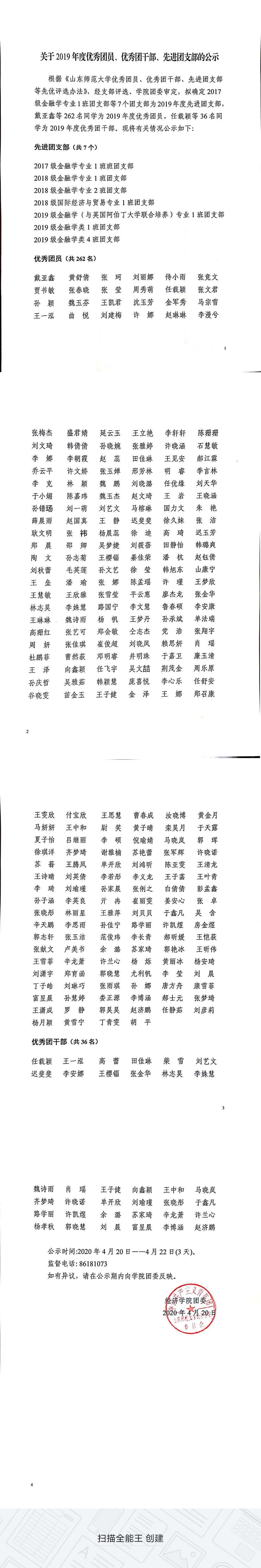
关于2019年度优秀团员、优秀团干部、先进团支部的公示
时间:2020-04-20
作者:
浏览记录:
上一篇:关于拟将王慧玲等20位同志转为中共正式党员的公示
下一篇:关于确定董婉怡等61位同志为入党积极分子的公示